Is PS+ a Good Idea? I Analyzed 200+ Games to Find Out
Psyonix credits PS+ with vaulting Rocket League to success. Mediatonic decided to follow suit with Fall Guys. And after its success, Destruction All-Stars delayed their launch to be included in the program. Does PS+ deserve all credit it’s been given? There are some stark trade-offs worth examining.
Prima facie, PS+ faces an uphill battle – developers receive near $0 for offering up their games. Additionally, any users brought in on PS+ incur additional server costs for the developer. Should developers really be so willing to throw their titles at the service?
The service charges players ~$5 monthly to receive two random games. These are full entitlements, not subscriptions. A player has an entitlement to them as long as they remain on the service. The billed benefits of the program are:
(1) the additional sales generated from other platforms during the PS+ period
(2) the “momentum” generated after the PS+ period to additional sales on Playstation
(3) MTX revenue from additional players
I wanted to examine expected PS+ player volume as well as sales uplift afterwords. Examining cross-platform effects are possible if the game is cross listed on Steam, but I’m lazy. And I have written enough code. So I’ve posted the spaghetti code for others to do so (and spot my errors!).
The Dataset
gamestat uses the Playstation API to estimate player counts. This is particularly apt for PS+ analysis as it excludes players who “claim” a game without playing it at least once. The dataset only includes “played entitlements”. We’ll cross-reference this against a list of PS+ PS4 games. Occasionally there are regional differences but I selected the North America list for simplicity and personal bias. Remasters or collections are attributed to the base titles and are not parceled out in API data.
The Growth of PS+
The subscription has grown overtime, consistently attracting more and more downloads for the average title. Fall Guys didn’t just outperform prior titles, it obliterated past comparisons.
Hall of PS+ Fame
| Title | PS+ Month | New Entitlements During PS+ Month |
|---|---|---|
| Fall Guys | 2020-08 | 24M |
| Call of Duty: WWII | 2020-05 | 9.5M |
| Call of Duty: MW (2016) | 2019-03 | 8.5M |
| Call of Duty: MW 2 | 2020-07 | 6.9M |
| Call of Duty: BO III | 2018-06 | 6.4M |
PS+ Played Entitlements Per Title
In 2019, PS+ exploded with the median title having 2.46M downloads compared to 2018’s 665k. This only increased in 2020. Some of this is probably fueled by Sony dropping the number of monthly titles from 6 to 2 in February 2018 (thereby increasing download concentration) as well as picking titles with stronger Metacritic scores.
Additionally, the service moved away from indie darlings towards titles with more publisher heft. Past year’s Call of Duties have found a second life in the program. This success has only attracted more “old” AAA titles to the program. We also find titles previously released on other platforms choosing to launch on Playstation via PS+ such as Grow Home and Super Meat Boy.
Weeks After First Playstation Launch to PS+ Inclusion
But heighted downloads are not enough, developers need revenue upside especially when considering Sony limits the ability of PS+ launched titles to appear on other platforms. We need to consider increases in PC sales and post PS+ uplift in PlayStation sales.
Is There Post-PS+ Uplift?
At quick glance, Fall Guys shows a shape decline in entitlements after the PS+ program ends. That makes sense when a title goes from $0 to $20 for a large swath of players. However, there is a “handover” month in September that looks highly correlated with the prior month’s PS+ numbers.
Fall Guys ‘Played’ Entitlements
On the other hand, the effect is only predictive of sales in the waning days of the PS+ period wherein downloads numbers are smallest. Additionally, the lift is short-lived (~2-3 weeks after the PS+ period ends).
If we examine all titles, we find a PS+ “hump”: entitlements increase during the PS+ period and then decline.
Monthly New Entitlements Per Title: Before, During & After PS+
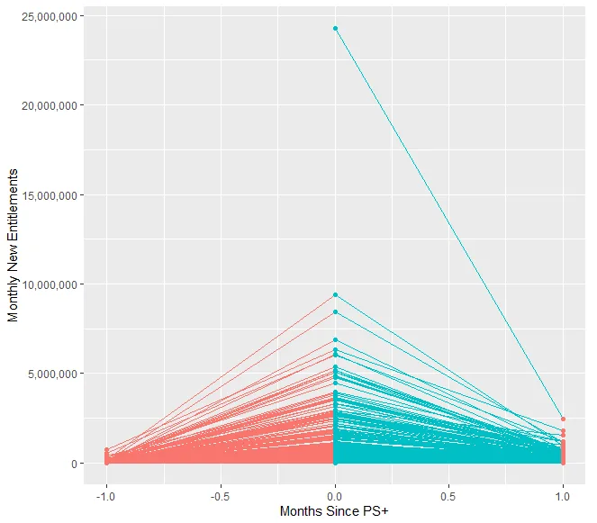
For a clearer picture, let’s connect entitlements 1 month before and after PS+ for those games with a non-PS+ launch period (i.e. excluding Fall Guys). We should see upward sloping curves if there’s a post-PS+ lift and indeed that is the case.
Monthly New Entitlements Per Title: 1 Month Before & After PS+
Even after all those free entitlements, there’s a still a good deal of players who purchase the game.
The mean uplift was +277K entitlements when comparing the pre-PS+ month and post-PS+ month. However, there’s a whopping standard deviation of +286K entitlements, with a median uplift of 160k+ entitlements.
Not all PS+ uplifts are created equal it appears. The biggest winners were already big franchises, further riding off of brand awareness and possibly some networking effects with so many newly added players. NBA 2K 2016 was the top earner, with over +1M entitlements compared to it’s pre-PS+ haul.
| Title | Post PS+ Month Entitlement Uplift |
|---|---|
| NBA 2K 16′ | + 1.2M |
| Call of Duty: BO III | +1.09M |
| Just Cause 3 | +1.04M |
| Call of Duty: MW 2 | +1.03M |
| The Sims 4 | +1.03M |
| Killing Floor 2 | +970k |
| Call of Duty WWII | +759k |
| Call of Duty: MW | +678k |
| NBA 2K 20′ | +637k |
| The Last of US | +631k |
Adding It All Up
What’s not accounted for are players that downloaded the game during PS+ and only first played after the PS+ period. I’m going to guess and say that accounts for 20% of the entitlements.
We also need to consider that many games pair price sales during and after the PS+ period. I’d reckon a $30 average selling price of which $20 goes to the publisher after platform margins are accounted for. For every 100k units, this works out to $1.6M net marginal revenue before severs costs are subtracted or MTX is added. PC uplift isn’t accounted for and neither is the opportunity cost of having to be PlayStation exclusive for a period of time.
The best I can tell, PS+ revenue uplift isn’t lifechanging (know your OCOR!) and the scale of the uplift is correlated with how well you were doing anyways. That said, I can’t find a decrease in post-PS+ sales and that’s good for developers nervous about giving away their game for free.